Vektor dalam matematika dan fisika
adalah obyek geometri yang memiliki besar dan arah. Vektor jika
digambar dilambangkan dengan tanda panah (→). Besar vektor proporsional
dengan panjang panah dan arahnya bertepatan dengan arah panah. Vektor
dapat melambangkan perpindahan dari titik A ke B.[1] Vektor sering ditandai sebagai

Untuk mencari panjang sebuah vektor dalam ruang euklidian tiga dimensi, dapat digunakan cara berikut:

Operasi vektor
Perkalian skalar
Sebuah vektor dapat dikalikan dengan skalar yang akan menghasilkan vektor juga, vektor hasil adalah:

Vektor satuan
Vektor satuan adalah vektor yang memiliki panjang 1 satuan panjang. Vektor satuan dari sebuah vektor dapat dicari dengan cara:

Penambahan vektor dan pengurangan vektor
Sebagai contoh vektor a=a1i + a2j + a3k dan b=b1i + b2j + b3k.
Hasil dari a ditambah b adalah:

pengurangan vektor juga berlaku dengan cara mengganti tanda + menjadi tanda -
a. Penjumlahan Vektor dengan Metode Grafis (Poligon)
Sebagai contoh
suatu vektor A
ditambah dengan suatu vektor
B maka vektor
resultannya VR
Langkah-langkah penjumlahan vektor secara grafis (metode poligon) adalah sebagai
berikut:
1. Gambar vektor
A sesuai
dengan skala dan arahnya
2. Gambar vektor B
sesuai dengan skala dan arahnya dengan menempelkan pangkal vektor
B pada ujung
vektor A .
Gambar
Penjumlahan dua buah vektor
A dan
B dengan
metode grafis (poligon)
Gambar
Penjumlahan empat buah vektor
A,
B,
C dan
D secara grafis (metode
poligon) VR
= A +
B +
C +
D
Penjumlahan dengan
metode poligon maka vektor resultan
VR
adalah segmen garis berarah dari pangkal vektor
A ke ujung
vektor B yang
menyatakan hasil penjumlahan vektor
A dan
B .
b. Penjumlahan
Vektor dengan Metode Jajaran Genjang
Penjumlahan dua
buah vektor A dan
B dengan metode jajar genjang yaitu dengan cara menyatukan pangkal
kedua vektor A dan
B , kemudian dari titik ujung vektor
A ditarik garis sejajar dengan
vektor B dan juga dari titik ujung vektor
A ditarik garis sejajar dengan vektor
B .
Vektor resultan VR diperoleh dengan menghubungkan titik pangkal ke titik
perpotongan kedua garis sejajar tersebut di atas.
Gambar Penjumlahan dua buah vektor
A dan
B dengan metode jajar genjang.
Besar vektor
resultan VR yang ditunjukkan pada Gambar 1.6. di atas dapat dicari dengan persamaan
cosinus berikut ini:
dengan
VR = besar
vektor resultan,
A dan B = besar vektor
A dan
B ,
α = sudut antara vektor
A dan
B .
Arah vektor
resultan terhadap salah satu vektor secara matematis dapat ditentukan dengan
menggunakan aturan sinus. Contoh suatu vektor
A ditambah vektor
B dan hasil
penjumlahan ini adalah vektor
C.
dengan
α, β, γ merupakan sudut-sudut yang terbentuk antara dua vektor seperti gambar 1.7.
Gambar Penjumlahan dua vektor
A dan
B menjadi vektor
C.
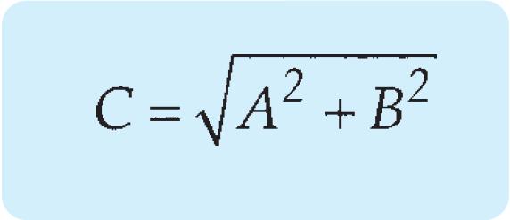
Jika vektor
A dan
vektor B saling tegak lurus maka besar vektor penjumlahannya
C =
A +
B dapat ditentukan
dengan dalil Phytagoras yaitu:
Gambar Penjumlahan dua vektor yang saling tegak lurus.
dengan :
A = besar vektor A,
B = besar vektor B,
C = besar vektor C.
Read more:
http://fisika-bse.blogspot.com/2013/05/metode-penjumlahan-vektor.html#ixzz2dNWzhMZ7
http://id.wikipedia.org/wiki/Vektor_%28spasial%29